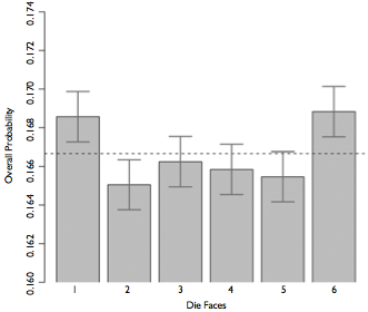
class: center, middle, inverse, title-slide # Inference for Categorical Data ## Computational Mathematics and Statistics ### Jason Bryer, Ph.D. ### February 24, 2026 --- # One Minute Paper Results .pull-left[ **What was the most important thing you learned during this class?** <img src="06-Inference_for_Categorical_Data_files/figure-html/unnamed-chunk-2-1.png" alt="" style="display: block; margin: auto;" /> ] .pull-right[ **What important question remains unanswered for you?** <img src="06-Inference_for_Categorical_Data_files/figure-html/unnamed-chunk-3-1.png" alt="" style="display: block; margin: auto;" /> ] --- # Example Two scientists want to know if a certain drug is effective against high blood pressure. The first scientist wants to give the drug to 1,000 people with high blood pressure and see how many of them experience lower blood pressure levels. The second scientist wants to give the drug to 500 people with high blood pressure, and not give the drug to another 500 people with high blood pressure, and see how many in both groups experience lower blood pressure levels. Which is the better way to test this drug? -- .center[ **500 get the drug, 500 don't** ] --- # Survey of Americans The GSS asks the same question, below is the distribution of responses from the 2010 survey: Response | n ---------------------------|------ All 1000 get the drug | 99 500 get the drug 500 don't | 571 **Total** | **670** --- # Parameter of Interest * Parameter of interest: Proportion of *all* Americans who have good intuition about experimental design. `$$p(population\; proportion)$$` * Point estimate: Proportion of *sampled* Americans who have good intuition about experimental design. `$$\hat{p}(sample\; proportion)$$` --- # Inference for a proportion What percent of all Americans have good intuition about experimental design (i.e. would answer "500 get the drug 500 don't?" * Using a confidence interval `$$point\; estimate \pm ME$$` * We know that ME = critical value x standard error of the point estimate. `$$SE_{\hat{p}} = \sqrt{\frac{p(1-p)}{n}}$$` --- # Central limit theoreom for proportions Sample proportions will be nearly normally distributed with mean equal to the population mean, *p*, and standard error equal to `\(\sqrt{\frac{p(1-p)}{n}}\)`. $$\hat { p } \sim N\left( mean=p,SE=\sqrt { \frac { p(1-p) }{ n } } \right) $$ This is true given the following conditions: * independent observations * at least 10 successes and 10 failures --- # Back to the Survey * 571 out of 670 (85%) of Americans answered the question on experimental design correctly. * Estimate (using a 95% confidence interval) the proportion of all Americans who have good intuition about experimental design? Given: `\(n = 670\)`, `\(\hat{p} = 0.85\)`. Conditions: 1. Independence: The sample is random, and 670 < 10% of all Americans, therefore we can assume that one respondent's response is independent of another. 2. Success-failure: 571 people answered correctly (successes) and 99 answered incorrectly (failures), both are greater than 10. --- # Calculating Confidence Interval Given: `\(n = 670\)`, `\(\hat{p} = 0.85\)`. `$$0.85 \pm 1.96 \sqrt{\frac{0.85 \times 0.15}{670}} = \left(0.82,\; 0.88\right)$$` We are 95% confidence the true proportion of Americans that have a good intuition about experimental designs is betwee 82% and 88%. --- # How many should we sample? Suppose you want a 3% margin of error, how many people would you have to survey? Use `\(\hat{p} = 0.5\)` * If you don't know any better, 50-50 is a good guess * `\(\hat{p} = 0.5\)` gives the most conservative estimate - highest possible sample size `$$0.03 = 1.96 \times \sqrt{\frac{0.5 \times 0.5}{n}}$$` `$$0.03^2 = 1.96^2 \times \frac{0.5 \times 0.5}{n}$$` `$$n \approx 1,068$$` --- class: font90 # Choosing a sample size How many people should you sample in order to cut the margin of error of a 95% confidence interval down to 1%? `$$ME = z^* × SE$$` Using `\(\hat{p}\)` from previous slides. $$0.01 \ge 1.96 \times \sqrt{\frac{0.85 \times 0.15}{n}} $$ `$$0.01^2 \ge 1.96^2 \times \frac{0.85 \times 0.15}{n}$$` `$$n \ge \frac{1.96^2 \times 0.85 \times 0.15}{0.01^2}$$` `$$n \ge 4,898.04$$` *n* needs to be at least 4,899 to have a 1% margin of error. --- # Example: Two Proportions Scientists predict that global warming may have big effects on the polar regions within the next 100 years. One of the possible effects is that the northern ice cap may completely melt. Would this bother you a great deal, some, a little, or not at all if it actually happened? Response | GSS | Duke -------------|----:|-----: A great deal | 454 | 69 Some | 124 | 40 A little | 52 | 4 Not at all | 50 | 2 Total | 680 | 105 --- # Parameter and Point Estimate Parameter of interest: Difference between the proportions of *all* Duke students and *all* Americans who would be bothered a great deal by the northern ice cap completely melting. `$$p_{Duke} - p_{US}$$` Point estimate: Difference between the proportions of *sampled* Duke students and *sampled* Americans who would be bothered a great deal by the northern ice cap completely melting. `$$\hat{p}_{Duke} - \hat{p}_{US}$$` --- # Everything else is the same... * CI: `\(point\; estimate \pm margin\; of\; error\)` * HT: `\(Z = \frac{point\; estimate - null\; value}{SE}\)` Standard error of the difference between two sample proportions `$$SE_{\hat{p}_1 - \hat{p}_2} = \sqrt{ \frac{p_1\left(1 - p_1\right)}{n_1} + \frac{p_2\left(1 - p_2\right)}{n_2} }$$` Conditions: 1. Independence within groups: The US group is sampled randomly and we're assuming that the Duke group represents a random sample as well. `\(n_{Duke} < 10\%\)` of all Duke students and `\(680 < 10\%\)` of all Americans. 2. Independence between groups: The sampled Duke students and the US residents are independent of each other. 3. Success-failure: At least 10 observed successes and 10 observed failures in the two groups. --- class: font80 # 95% Confidence Interval Construct a 95% confidence interval for the difference between the proportions of Duke students and Americans who would be bothered a great deal by the melting of the northern ice cap ( `\(p_{Duke} - p_{US}\)` ). Data | Duke | US -----------------|------:|-----: A great deal | 69 | 454 Not a great deal | 36 | 226 Total | 105 | 680 `\(\hat{p}\)` | 0.657 | 0.668 `$$\left(\hat{p}_{Duke} - \hat{p}_{US}\right) \pm z* \times \sqrt{ \frac{p_{Duke}\left(1 - p_{Duke}\right)}{n_{Duke}} + \frac{p_{US}\left(1 - p_{US}\right)}{n_{US}} }$$` `$$(0.657 - 0.668) \pm 1.96 \times \sqrt{\frac{0.657 \times 0.343}{105} + \frac{0.668 \times 0.332}{680}} = \left(-0.108,\; 0.086\right)$$` --- # Exercise .pull-left[ You each have been given a dice and worksheet. Roll your die at least 30 times recording the number you roll. When you are done, scan the QR code to enter your totals. ] .pull-right[ <img src="06-Inference_for_Categorical_Data_files/figure-html/unnamed-chunk-4-1.png" alt="" style="display: block; margin: auto;" /> ] --- # Weldon's dice * Walter Frank Raphael Weldon (1860 - 1906), was an English evolutionary biologist and a founder of biometry. He was the joint founding editor of Biometrika, with Francis Galton and Karl Pearson. * In 1894, he rolled 12 dice 26,306 times, and recorded the number of 5s or 6s (which he considered to be a success). * It was observed that 5s or 6s occurred more often than expected, and Pearson hypothesized that this was probably due to the construction of the dice. Most inexpensive dice have hollowed-out pips, and since opposite sides add to 7, the face with 6 pips is lighter than its opposing face, which has only 1 pip. --- # Labby's dice In 2009, Zacariah Labby (U of Chicago), repeated Weldon’s experiment using a homemade dice-throwing, pip counting machine. http://www.youtube.com/watch?v=95EErdouO2w * The rolling-imaging process took about 20 seconds per roll. * Each day there were ∼150 images to process manually. * At this rate Weldon’s experiment was repeated in a little more than six full days. .center[] --- # Summarizing Labby's results The table below shows the observed and expected counts from Labby's experiment. | Outcome | Observed | Expected | |-----------|-------------|-------------| | 1 | 53,222 | 52,612 | | 2 | 52,118 | 52,612 | | 3 | 52,465 | 52,612 | | 4 | 52,338 | 52,612 | | 5 | 52,244 | 52,612 | | 6 | 53,285 | 52,612 | | Total | 315,672 | 315,672 | --- # Setting the hypotheses Do these data provide convincing evidence of an inconsistency between the observed and expected counts? * `\(H_0\)`: There is no inconsistency between the observed and the expected counts. The observed counts follow the same distribution as the expected counts. * `\(H_A\)`: There is an inconsistency between the observed and the expected counts. The observed counts **do not** follow the same distribution as the expected counts. There is a bias in which side comes up on the roll of a die. --- # Evaluating the hypotheses * To evaluate these hypotheses, we quantify how different the observed counts are from the expected counts. * Large deviations from what would be expected based on sampling variation (chance) alone provide strong evidence for the alternative hypothesis. * This is called a *goodness of fit* test since we're evaluating how well the observed data fit the expected distribution. --- # Anatomy of a test statistic * The general form of a test statistic is: `$$\frac{\text{point estimate} - \text{null value}}{\text{SE of point estimate}}$$` * This construction is based on 1. identifying the difference between a point estimate and an expected value if the null hypothesis was true, and 2. standardizing that difference using the standard error of the point estimate. * These two ideas will help in the construction of an appropriate test statistic for count data. --- # Chi-Squared When dealing with counts and investigating how far the observed counts are from the expected counts, we use a new test statistic called the chi-square ( `\(\chi^2\)` ) statistic. .pull-left[ `$$\chi^2 = \sum_{i = 1}^k \frac{(O - E)^2}{E}$$` where k = total number of cells ] .pull-right[ | Outcome | Observed | Expected | `\(\frac{(O - E)^2}{E}\)` |-----------|-------------|-------------|-----------------------| | 1 | 53,222 | 52,612 | `\(\frac{(53,222 - 52,612)^2}{52,612} = 7.07\)` | | 2 | 52,118 | 52,612 | `\(\frac{(52,118 - 52,612)^2}{52,612} = 4.64\)` | | 3 | 52,465 | 52,612 | `\(\frac{(52,465 - 52,612)^2}{52,612} = 0.41\)` | | 4 | 52,338 | 52,612 | `\(\frac{(52,338 - 52,612)^2}{52,612} = 1.43\)` | | 5 | 52,244 | 52,612 | `\(\frac{(52,244 - 52,612)^2}{52,612} = 2.57\)` | | 6 | 53,285 | 52,612 | `\(\frac{(53,285 - 52,612)^2}{52,612} = 8.61\)` | | Total | 315,672 | 315,672 | 24.73 | ] --- # Chi-Squared Distribution Squaring the difference between the observed and the expected outcome does two things: * Any standardized difference that is squared will now be positive. * Differences that already looked unusual will become much larger after being squared. In order to determine if the `\(\chi^2\)` statistic we calculated is considered unusually high or not we need to first describe its distribution. * The chi-square distribution has just one parameter called **degrees of freedom (df)**, which influences the shape, center, and spread of the distribution. <img src="06-Inference_for_Categorical_Data_files/figure-html/unnamed-chunk-5-1.png" alt="" style="display: block; margin: auto;" /> --- # Degrees of freedom for a goodness of fit test When conducting a goodness of fit test to evaluate how well the observed data follow an expected distribution, the degrees of freedom are calculated as the number of cells (*k*) minus 1. `$$df = k - 1$$` For dice outcomes, `\(k = 6\)`, therefore `\(df = 6 - 1 = 5\)` <img src="06-Inference_for_Categorical_Data_files/figure-html/unnamed-chunk-6-1.png" alt="" style="display: block; margin: auto;" /> p-value = `\(P(\chi^2_{df = 5} > 24.67)\)` is less than 0.001 --- # Turns out... .font140[ * The 1-6 axis is consistently shorter than the other two (2-5 and 3-4), thereby supporting the hypothesis that the faces with one and six pips are larger than the other faces. * Pearson's claim that 5s and 6s appear more often due to the carved-out pips is not supported by these data. * Dice used in casinos have flush faces, where the pips are filled in with a plastic of the same density as the surrounding material and are precisely balanced. ] --- # Recap: p-value for a chi-square test * The p-value for a chi-square test is defined as the tail area **above** the calculated test statistic. * This is because the test statistic is always positive, and a higher test statistic means a stronger deviation from the null hypothesis. <img src="06-Inference_for_Categorical_Data_files/figure-html/unnamed-chunk-7-1.png" alt="" style="display: block; margin: auto;" /> --- # Independence Between Groups .pull-left[ Assume we have a population of 100,000 where groups A and B are independent with `\(p_A = .55\)` and `\(p_B = .6\)` and `\(n_A = 99,000\)` (99% of the population) and `\(n_B = 1,000\)` (1% of the population). We can sample from the population (that includes groups A and B) and from group B of sample sizes of 1,000 and 100, respectively. We can also calculate `\(\hat{p}\)` for group A independent of B. ``` r propA <- .55 # Proportion for group A propB <- .6 # Proportion for group B pop.n <- 100000 # Population size sampleA.n <- 1000 sampleB.n <- 100 ``` ] .pull-right[.code90[ ``` r pop <- data.frame( group = c(rep('A', pop.n * 0.99), rep('B', pop.n * 0.01) ), response = c( sample(c(1,0), size = pop.n * 0.99, prob = c(propA, 1 - propA), replace = TRUE), sample(c(1,0), size = pop.n * 0.01, prob = c(propB, 1 - propB), replace = TRUE) ) ) sampA <- pop[sample(nrow(pop), size = sampleA.n),] sampB <- pop[sample(which(pop$group == 'B'), size = sampleB.n),] ``` ] ] --- # Independence Between Groups (cont.) `\(\hat{p}\)` for the population sample ``` r mean(sampA$response) ``` ``` ## [1] 0.549 ``` `\(\hat{p}\)` for the population sample, excluding group B ``` r mean(sampA[sampA$group == 'A',]$response) ``` ``` ## [1] 0.5465587 ``` `\(\hat{p}\)` for group B sample ``` r mean(sampB$response) ``` ``` ## [1] 0.54 ``` --- # Independence Between Groups (cont.) <img src="06-Inference_for_Categorical_Data_files/figure-html/unnamed-chunk-14-1.png" alt="" style="display: block; margin: auto;" /> --- class: left, font140 # One Minute Paper .pull-left[ 1. What was the most important thing you learned during this class? 2. What important question remains unanswered for you? ] .pull-right[ <img src="06-Inference_for_Categorical_Data_files/figure-html/unnamed-chunk-15-1.png" alt="" style="display: block; margin: auto;" /> ] https://forms.gle/hWUktVZ4Fyiia3xy6